6637/6966
Home /

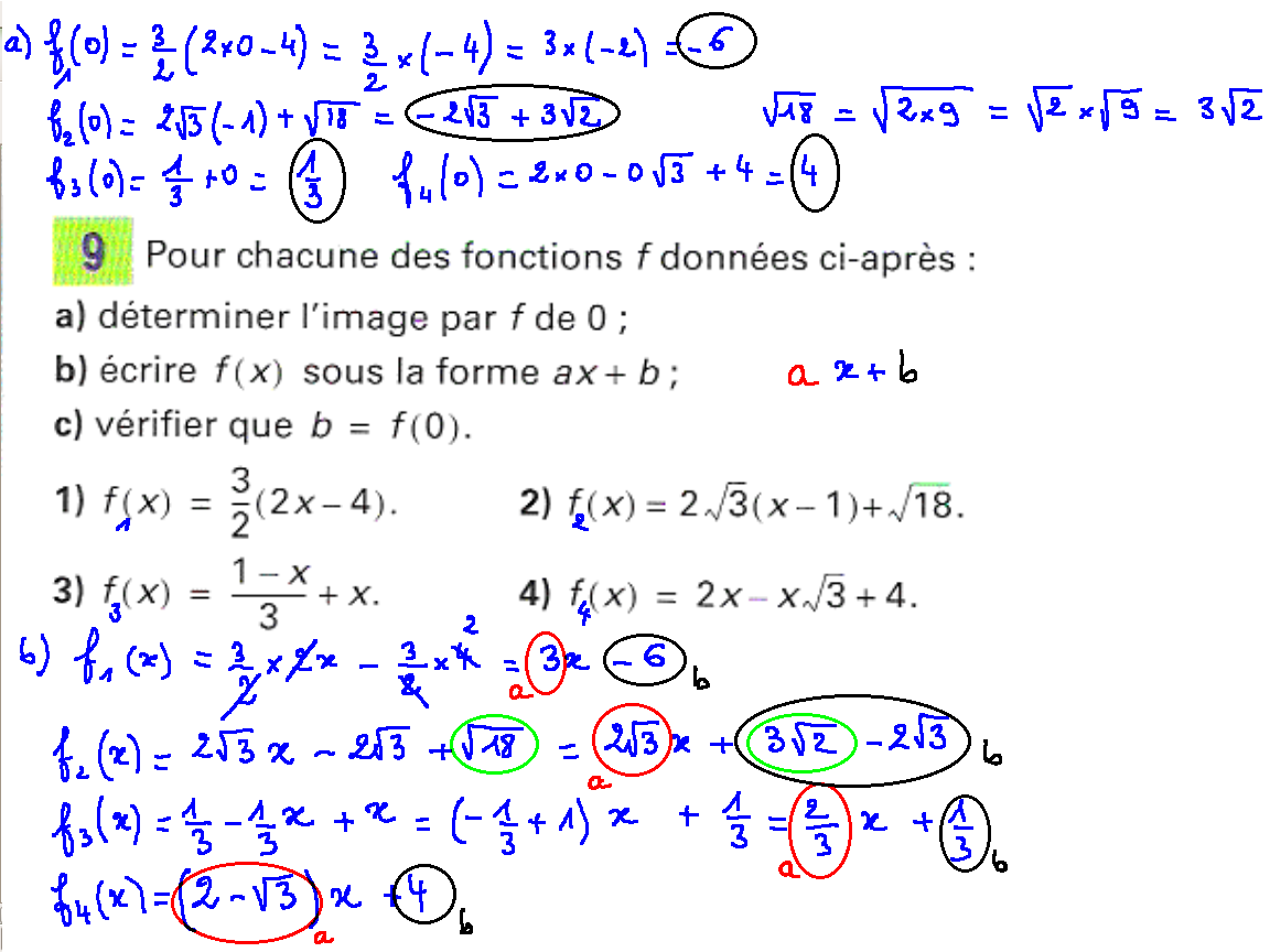
Maths en seconde

20091007-Ex9page90.png Maths en secondeThumbnailsMaths en première SMaths en secondeThumbnailsMaths en première SMaths en secondeThumbnailsMaths en première SMaths en secondeThumbnailsMaths en première SMaths en secondeThumbnailsMaths en première SMaths en secondeThumbnailsMaths en première S
File
20091007-Ex9page90.png
Visits
7762
Rating score
no rate
Rate this photo

0 comments