63/185
Home / Première ES / 2013-2014 /

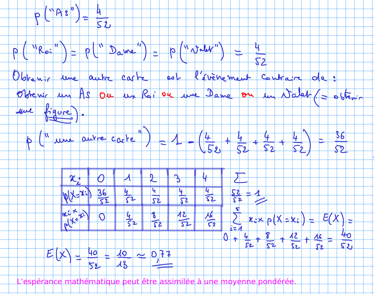
2014-04-14-Probabilites-VA-2

2014-04-14-Probabilites-VA-2.png 2014-04-14-Probabilites-VA-4Thumbnails2014-04-14-Probabilites-VA-12014-04-14-Probabilites-VA-4Thumbnails2014-04-14-Probabilites-VA-12014-04-14-Probabilites-VA-4Thumbnails2014-04-14-Probabilites-VA-12014-04-14-Probabilites-VA-4Thumbnails2014-04-14-Probabilites-VA-12014-04-14-Probabilites-VA-4Thumbnails2014-04-14-Probabilites-VA-12014-04-14-Probabilites-VA-4Thumbnails2014-04-14-Probabilites-VA-12014-04-14-Probabilites-VA-4Thumbnails2014-04-14-Probabilites-VA-1
File
2014-04-14-Probabilites-VA-2.png
Visits
6345
Rating score
no rate
Rate this photo

0 comments