6850/6966
Home /

Maths en seconde

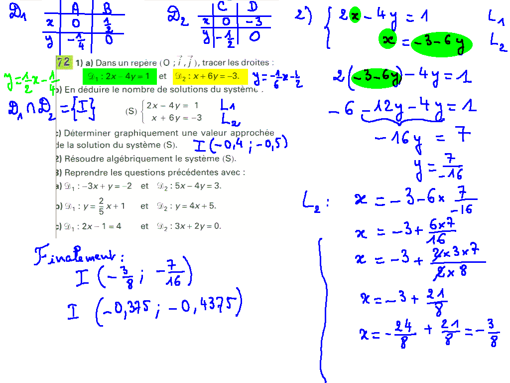
20090525-Systemes-72-page351.png Maths en secondeThumbnailsMaths en première SMaths en secondeThumbnailsMaths en première SMaths en secondeThumbnailsMaths en première SMaths en secondeThumbnailsMaths en première SMaths en secondeThumbnailsMaths en première SMaths en secondeThumbnailsMaths en première S
File
20090525-Systemes-72-page351.png
Visits
9488
Rating score
no rate
Rate this photo

0 comments