150/316
Home / Première S / 2009-2010 /

Maths en première S

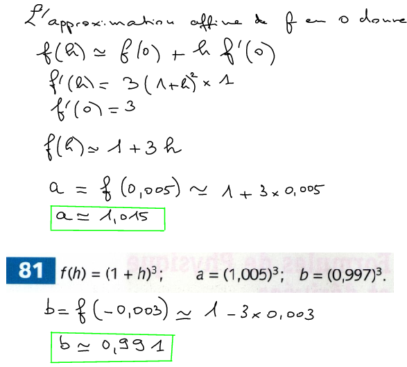
20100201-ApproximationAffine-Ex81Page74.png Maths en première SThumbnailsMaths en première SMaths en première SThumbnailsMaths en première SMaths en première SThumbnailsMaths en première SMaths en première SThumbnailsMaths en première S
File
20100201-ApproximationAffine-Ex81Page74.png
Visits
5643
Rating score
no rate
Rate this photo

0 comments