156/316
Home / Première S / 2009-2010 /

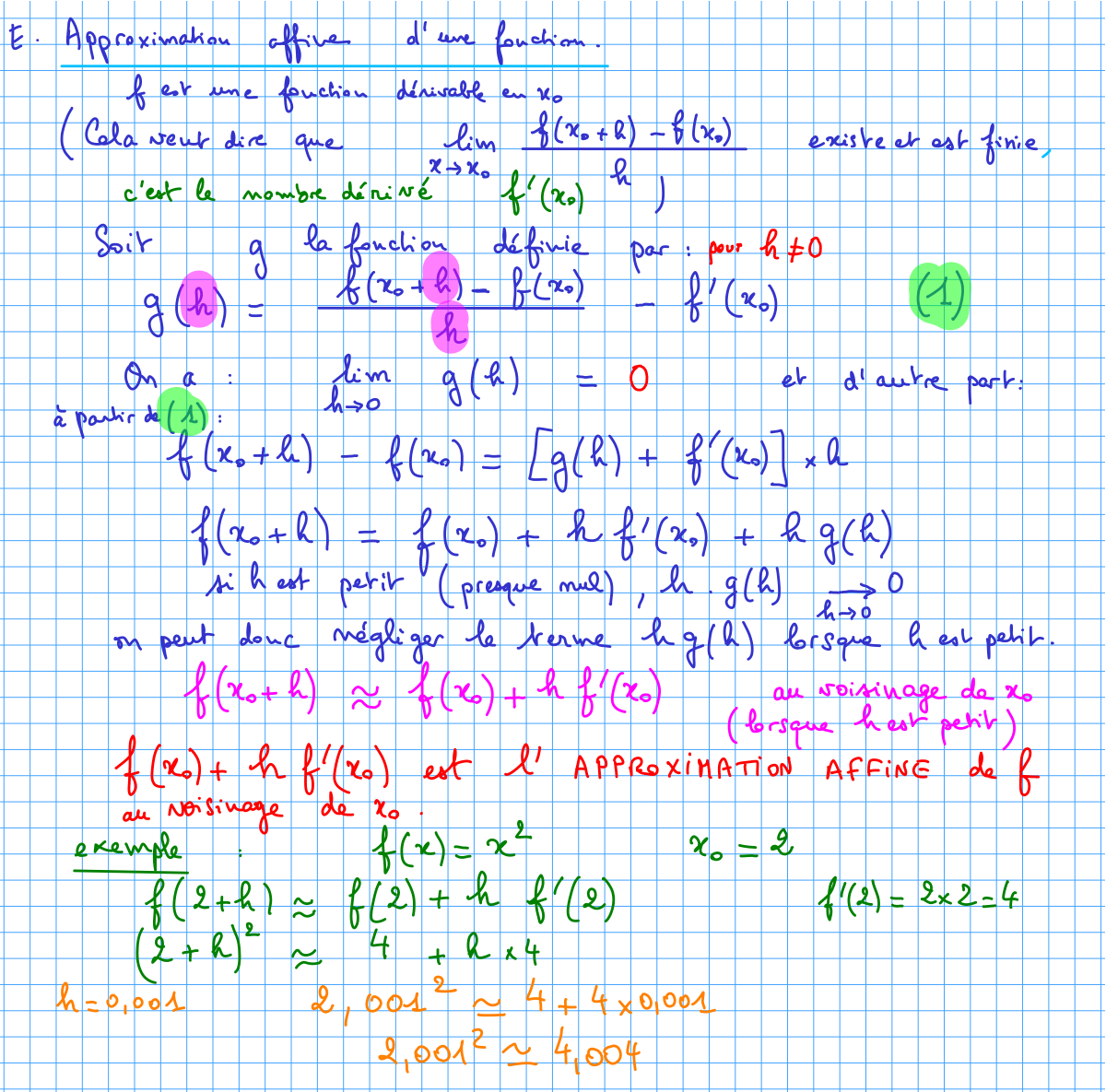
Maths en première S

20091208-ApproximationAffine.png Maths en première SThumbnailsMaths en première SMaths en première SThumbnailsMaths en première SMaths en première SThumbnailsMaths en première SMaths en première SThumbnailsMaths en première SMaths en première SThumbnailsMaths en première SMaths en première SThumbnailsMaths en première SMaths en première SThumbnailsMaths en première S
File
20091208-ApproximationAffine.png
Visits
5245
Rating score
no rate
Rate this photo

0 comments