6612/6966
Home /

Maths en première S

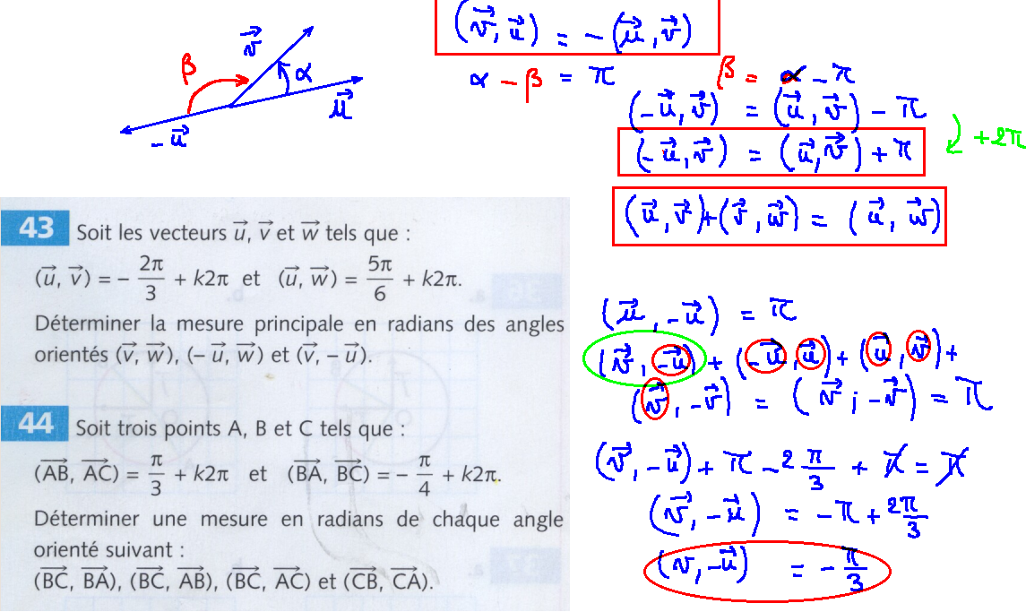
20091026-Ex43page282.png Maths en première SThumbnailsMaths en première SMaths en première SThumbnailsMaths en première SMaths en première SThumbnailsMaths en première SMaths en première SThumbnailsMaths en première SMaths en première SThumbnailsMaths en première SMaths en première SThumbnailsMaths en première S
File
20091026-Ex43page282.png
Visits
6354
Rating score
no rate
Rate this photo

0 comments