6646/6966
Home /

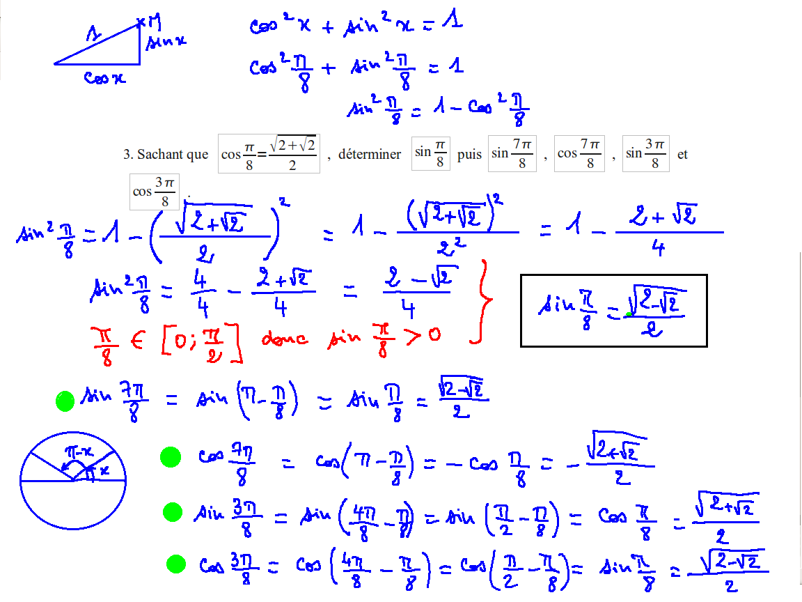
Maths en première S

20091005-DSCercleTrigo.png Maths en secondeThumbnailsMaths en secondeMaths en secondeThumbnailsMaths en secondeMaths en secondeThumbnailsMaths en secondeMaths en secondeThumbnailsMaths en secondeMaths en secondeThumbnailsMaths en secondeMaths en secondeThumbnailsMaths en seconde
File
20091005-DSCercleTrigo.png
Visits
8753
Rating score
no rate
Rate this photo

0 comments