6919/6966
Home /

Maths en première S

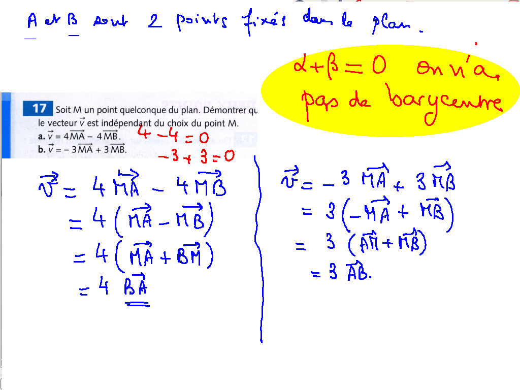
20090420-Ex17page348.png Maths en première SThumbnailsMaths en secondeMaths en première SThumbnailsMaths en secondeMaths en première SThumbnailsMaths en secondeMaths en première SThumbnailsMaths en secondeMaths en première SThumbnailsMaths en secondeMaths en première SThumbnailsMaths en seconde
File
20090420-Ex17page348.png
Visits
7952
Rating score
no rate
Rate this photo

0 comments